文献解读|NAT ECOL EVOL(19.1):欧洲拟南芥种群的根部微生物群落集合和适应性分化
✦ +
+
论文ID
原名:Root microbiota assembly and adaptive differentiation among European Arabidopsis populations
译名:欧洲拟南芥种群的根部微生物群落集合和适应性分化
期刊:Nature Ecology & Evolution
影响因子:19.1
发表时间:2020.01
DOI号:10.1038/s41559-019-1063-3
背 景
植物与微生物群落相互作用可以直接或间接地影响宿主的适应性。土壤生物群落的大规模空间变化受土壤和气候条件影响,然而,关于影响程度的系统性实地研究还很缺乏。
互换移植已在大量的植物物种中显示出局部适应性,非生物和生物因素对局部适应性的进化和维持的相对重要性还不清楚,土壤性质在多大程度上促进了植物种群之间的差异选择和维持适应性分化的信息仍然有限。
在本实验研究了拟南芥和共生草的根是否与微生物群落建立稳定的联系,以及土壤条件和气候在多大程度上推动了瑞典和意大利拟南芥种群之间的根系微生物群落组装和适应性分化。
实验设计

结 果
01

拟南芥根系微生物区系的大陆尺度调查
实验在2015年、2016年和2017年在欧洲沿纬度梯度的17个地点(图1 a)收集了散土、开花期的天然拟南芥种群和共生草的根际、根平面和根内层的样品。对细菌、真菌、卵菌进行测序,将序列聚类为OTU。
02

拟南芥根系微生物群落组成的趋同性
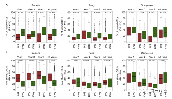
对样品的α多样性指数、微生物群落结构分析表明,从土壤到根内层,细菌的多样性比丝状真核生物的多样性减少更大(图1b和扩展数据图2 a,b)。根内层和根际中的细菌群落按分区、根际和土壤中的位置聚类,而真菌和卵菌类没有明显的分类(图1b)。瑞典土壤和其他欧洲土壤的细菌群落存在明显差异(图1c,d),在根系样品中差异大大减少,表明植物内层细菌群落组成趋同(图1 d)。此外,根样品中细菌OTU的百分比高于土壤样品(扩展数据图3b,c)。结果表明,根环境推动了欧洲各地细菌群落组成的趋同。


图1.17个欧洲拟南芥种群的微生物群落结构
(a)17个拟南芥种群的名称和位置(b)基于Bray-Curtis相似性的树状图(c)四个瑞典土壤样品和其他13个土壤样品之间以及根和土壤样品之间的差异丰度分析(d)PCoA 基于17个采样点、4个采样区和连续3年采集的样品之间的 Bray-Curtis 距离

扩展数据图2. 植物根系中微生物α多样性和富集特征
(a) 微生物α多样性 (b) OTU 的α多样性

扩展数据图3. 土壤和根系样品的位置变化和共有OTU
(b)土壤和根系样品中共有的高丰度OTU的百分比(c)土壤和根系样品中共有的低丰度OTU的百分比
03

根际细菌和拟南芥表现出稳定的相关性
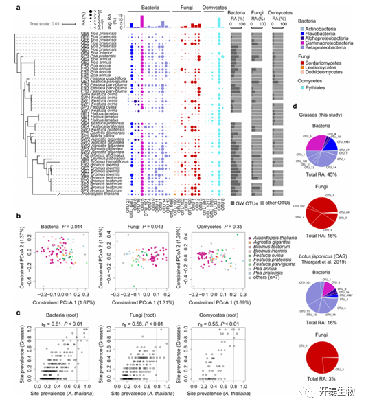
计算拟南芥根中的微生物OTU在17个地点的流行率。在地理上广泛分布的细菌OTU,在根平面和根际中更为丰富(图4b)。其中有13个细菌OTU在拟南芥根系一致检测到(图4a,c) ,占该分区总 RA的38% (图4d)。

图4. 拟南芥根中地理分布广泛的类群
(a) 细菌、真菌和卵菌的OTU流行率与植物根中OTU RA的相关性 (b)细菌 ,真菌和卵菌在四每个区中检测到的地理限制的,常见的和广泛的OTU的箱形图 (c) 细菌、真菌和霉菌的系统发育树(d)在拟南芥根中检测到的广泛分布的细菌和真菌 OTU的比例
检查这些OTU的内部序列分化,发现序列异质性最高的是OTU14和OTU5(图4c)。在大多数情况下,只有一个或两个序列变体在不同地点表现出高流行率和高RA,这表明很少有ASVs对这些OTU的广泛性有影响。还鉴定了14种分布广泛的根相关丝状真核生物的OTU。与细菌相比,这些OTU并不是特别富集于根部,且很少观察到序列分化(图4a、c和)。结果表明,少数在地理上分布广泛的细菌大量定殖于拟南芥的根部,这推动了细菌群落组成的趋同。
04

共生草根部的地理上普遍存在的OTU
在17个地点每一个都收集了16种不同的草种。在拟南芥和禾草之间观察到的微生物群落组成差异有限(扩展数据图5b)。拟南芥和禾本科植物根部微生物 OTU 流行率的比较揭示了大陆范围内的总体一致性(扩展数据图5c)。对草根中广泛存在的拟南芥OTU进一步检查表明,细菌OTU的存在率很高,真菌OTU的存在率不高。
结果表明,少数地理分布广泛的细菌可以有效地定殖远缘植物物种的根系,并在进化过程中与植物根系建立稳定的联系。

扩展数据图5. 地理分布广泛的共生草种根系 OTU
(a)草种的多样性和根系中地理上广泛存在的OTU (b)根中细菌、真菌和卵菌群落的物种限制 (c)拟南芥根中OTU的流行率和共生草根中OTU的流行率之间的Spearman等级相关性 (d)共生草和莲藕根中地理分布广泛的OTU
05

根部微生物群分化的空间和时间变化
分析了欧洲各地的生物圈群落的空间和时间变化(图6a)。位置是决定根相关微生物群落组成变化的主要因素(图6b)。

图6.拟南芥根系微生物群的形成因素
(a)在17个地点、4个区间和连续3年收获的样本基于Bray-Curtis距离的PCoA(b) 地点、采收年对细菌、真菌和卵菌群落组成的影响(c)在每个地点的环境变量对细菌、真菌和卵菌群落组成的影响
实验收集了17个地点的环境变量数据,确定土壤、根际和根平面中细菌群落组成的主要决定因素是pH或与pH高度相关的环境变量(图6c),且细菌群落与环境变量的相关性更强(图6c)。土壤矿物营养素对根微生物群落组成的影响是由宿主反应决定的。真菌和卵菌类群落的年内变化特别强烈(图6b)。
结果表明,环境条件的变化对根系相关微生物群落的影响比时间变化更强烈,且拟南芥和共生草的根系之间的群落组成差异很小。
06

土壤、气候和基因型的差异导致拟南芥根系微生物群落分化
实验在瑞典和意大利两个地理上分离的拟南芥种群之间进行了移植实验(SW4和IT1)。分析结果显示,散土和根际中细菌、真菌和卵菌类的群落组成与欧洲横断面调查一致,细菌的区室效应大于丝状真核生物。土壤来源对细菌生物群变化的影响大大高于移植地点(图7b)。对全根样品中,在不同土壤×位置×基因型组合中可检测到的地理分布广泛的细菌OTU的稳定流行率、地点和土壤特定因素对根微生物群落不同分类群的不同影响(扩展数据图8a-d)。结果表明,特定位置的因素,如气候条件,对与根相关的丝状真核生物群落的分化的影响大于细菌。

图7.瑞典和意大利的两个拟南芥种群之间的互换移植
(a)互换移植实验的示意图(b)通过PCoA测定131个样品中细菌、真菌和卵菌的群落结构(c)意大利基因型(红色)和瑞典基因型(蓝色)的总体适应性

扩展数据图8. 移栽试验中根系 OTU 分布规律的研究
(a) 意大利和瑞典基因型在意大利和瑞典土壤中生长的根部的细菌OTU的RA(b)意大利和瑞典基因型在意大利和瑞典土壤中生长的根部的真菌OTU的RA(c)意大利和瑞典基因型在意大利和瑞典土壤中生长的根部的卵菌OTU的RA
07

土壤条件的差异对拟南芥种群间的适应性分化影响不大
实验对IT1和SW4位点的相互移植中生长的植物的存活率和繁殖力进行了评估。意大利基因型在IT1的平均适应性是瑞典基因型的58倍,在SW4上是23倍(图7c)。这表明,对气候因素以及可能由土壤特性决定的其他环境变量的适应,是北欧和南欧拟南芥种群适应性差异的主要决定因素。
+ + + + + + + + + + +
结 论
实验在欧洲17个地点对拟南芥和共生草的根系相关微生物群落进行了3年的监测。观察到土壤生物群有很强的地理结构。少数系统发育多样、地理分布广泛的细菌一直在植物根部定殖。与丝状真核生物相比,细菌性根系微生物群在不同地点和不同年份的相似性更强。
在瑞典和意大利的拟南芥种群的相互移植中,测试了土壤对根微生物群分化和植物适应的影响。植物根中的丝状真核生物和细菌的群落分化主要由土壤来源决定,寄主基因型的影响很小。两个拟南芥种群之间存在较强的局部适应性,土壤性质和微生物的差异对适应性分化程度不重要。
结果表明,在大的空间尺度上,气候比土壤条件对植物的适应性更重要,土壤性质是根中细菌群落分化的决定因素。
+ + + + +



English

