文献解读|(7.670):生理和比较转录组分析揭示了油菜籽花青素突变体耐涝的机制
✦ +
+
论文ID
原名:Physiological and comparative transcriptome analyses reveal the mechanisms underlying waterlogging tolerance in a rapeseed anthocyanin‑more mutant
译名:生理和比较转录组分析揭示了油菜籽花青素突变体耐涝的机制
期刊:Biotechnology for Biofuels and Bioproducts
影响因子:7.67
发表时间:2022.5.20
DOI号:10.1186/s13068-022-02155-5
背 景
油菜是世界上主要的油料作物,菜籽油在化工、制药和生物能源等领域的应用日益增多。油菜在生长发育过程中对水涝胁迫尤其敏感,除形态变化外,还影响基因表达、影响细胞生理代谢、阻碍生长和降低产量。然而,油菜耐涝性的分子机制尚不清楚。本研究以油菜品种中双11 (ZS11,WT)以及ZS11花青素 (am)突变体(am-MT)为材料,研究了发芽期油菜在水涝胁迫下的生理和转录组变化。该研究将加深我们对花青素产生的转录调控以及花青素诱导油菜突变体抗水涝的分子机制的认识,为进一步筛选油菜耐水涝相关的候选基因从而进行分子育种奠定基础。
实验设计

结 果
01

水涝胁迫条件下,WT和am-MT种子发芽和幼苗生长差异
与WT相比,am-MT在不同生长发育阶段均呈现紫色。在发芽早期,不同时间(12、24和36 h)的水涝胁迫下,am-MT的根长、茎长和鲜重均显著高于WT (图1a, b)。在水涝胁迫后的幼苗期,am-MT的茎叶呈紫色,且在一定程度上随着水涝时间的增加,紫色逐渐加深(图1c)。当水涝时间达到12天时,与WT幼苗相比,am-MT幼苗的叶脉、叶柄和叶边缘区域均呈紫色,根系发育良好(图1d)。在水涝胁迫下,am-MT在发芽过程中花青素产生更多,茎、叶柄和叶脉呈紫色,而WT植株则没有明显变化。由此可见,am-MT在水涝胁迫下更容易产生花青素,这可能与am-MT的耐涝性有关。
水涝12 h后,am-MT和WT之间的相对根长和鲜重无明显差异(表1)。水涝24 h,接着进行8 d的恢复,两组的相对出苗率均有所下降,但am-MT的下降幅度小于WT。两组的相对活力指数也有显著差异,WT的相对活力指数仅为0.18,而am-MT的相对活力指数为0.65,这表明am-MT对水涝的耐受性高于WT。经过36 h的处理和恢复期后,绝大多数WT幼苗不能正常生长,子叶不能完全脱离外壳向外延伸,而am-MT有46.1%的幼苗能够在水涝后正常发芽生长(表1)。

图1 WT和am-MT在水涝后不同时期的表型差异
表1水涝胁迫对WT和am-MT种子发芽特性的影响

02

水涝处理后WT和am-MT的理化变化
花青素在减轻环境胁迫造成的植物损伤方面发挥着重要作用。丙二醛(MDA)是脂质过氧化的指标,反映细胞膜过氧化的程度和植物对胁迫反应的强度。在正常生长条件,am-MT幼苗叶片的MDA和叶绿素b含量与WT幼苗无显著差异(图2b、e);叶绿素a、总叶绿素和可溶性糖含量均低于WT幼苗(图2a、c、f),而花青素含量高于WT幼苗(图2d)。在水涝胁迫下,两种幼苗中花青素、可溶性糖和MDA含量增加,但在am-MT中的含量显著高于WT(图2d-f),而叶绿素a、叶绿素b和总叶绿素含量在两种幼苗中均减少(图2a-c)。这表明,油菜籽幼苗的生理代谢受到水涝胁迫的严重影响,am-MT可能通过调节叶绿素、花青素和MDA的水平来减轻有害影响。

图2 水涝胁迫对WT和am-MT的理化指标差异
03

水涝胁迫下WT和am-MT的转录组变化
为了解WT和am-MT对水涝胁迫作出不同反应的分子机制,对24小时水涝胁迫,且经过8天恢复生长的叶片进行转录组测序。通过数据质量控制和数据过滤,参考基因组比对率大约为83%,Q30>95%(表2)。相关性分析表明,WT和am-MT之间的基因表达水平的相关系数接近1,且两组之间的基因表达模式不同,表明样品之间的重复性很高,测序数据可靠,可以进一步分析(图3)。
和am-CK组相比,在am-WL组叶片组织中鉴定到1145个显著上调基因和1221个显著下调基因。和wt-CK相比,在wt-WL组叶片组织中鉴定到856个显著上调基因和514个显著下调基因(图4a)。其中,在两个比较组合中有208个共同的DEGs(图4b)。聚类分析表明两个品种的叶片组织基因表达存在差异(图4c),在水涝胁迫后,am-WT的转录组变化比WT更大。
表2 reads统计及参考基因组比对结果


图3样本间相关性示意图

图4 WT和am-MT的DEGs表达情况
04

DEGs的功能富集分析
GO分析显示,在两个比较组合中,DEGs富集的类目相似。其中,DEGs显著富集的生物过程(BP)为代谢过程、细胞过程和单有机体过程;显著富集细胞组分(CC)为细胞、细胞部分和膜;显著富集的分子功能(MF)为结合、催化活性和转运活性(图5a,b)。KEGG分析显示,和wt-CK组相比,wt-WL组的DEGs显著富集到碳水化合物代谢通路、信号传导通路及转运和分解代谢相关通路。相反,和am-CK相比,am-WL组的DEGs主要富集到信号传导通路、翻译过程、脂质代谢通路、碳水化合物代谢通路和氨基酸代谢通路(图5b)。

图5 GO和KEGG分析
05

水涝胁迫下花青素生物合成相关DEGs的分析
根据转录组数据,油菜种子苗期的颜色和花青素含量的变化与参与花青素合成相关基因的差异表达有关,包括PAL、C4H、4CL、CHS、F3H、DFR和UFGT(图6)。大多数基因属于UGT基因家族,在两个品种之间表现出不同的表达模式。在自然条件和水涝胁迫下,am-MT中这些关键基因表达高于WT,表明花青素生物合成途径参与了植物对水涝胁迫的反应,am-MT中的突变基因可能通过影响花青素合成代谢而发挥作用。am-MT中FLS基因显著下调和DFR基因显著上调(图6b),表明导致两个品种间花青素含量差异的机制可能是通过降低FLS活性,增加DFR活性,从而减少黄酮类化合物的积累,增加花青素的合成。UGT可以通过糖基化作用将花青素转化为稳定的花青素,两个品种中UGT的差异表达可能也与am-MT中紫色花青素的高积累有关。

图6 油菜中参与花青素生物合成的DEGs鉴定
06

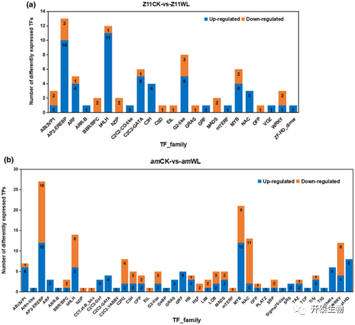
水涝胁迫下转录因子(TFs)的差异表达鉴定
根据转录组测序结果,WT中的79个基因(54个上调,25个下调)和am-MT中的196个基因(110个上调,86个下调)为TFs(图7)。在WT中,大部分上调的TFs属于bHLH、AP2-EREBP、C2C2-GATA和G2-like家族,而下调的TFs主要属于AP2/ERFBP、ABI3VP1、G2-like、WRKY和MYB家族(图7a)。在am-MT中,大部分上调的TFs属于MYB、AP2/EREBP、zf-HD、ABI3VP1和bHLH家族,而下调的TFs属于NAC、bHLH和WRKY家族(图7b)。

图7 WT和am-MT在水涝胁迫下差异表达的TFs
07

与植物激素信号转导有关的DEGs鉴定
am-MT中有87个DEGs(24个上调、63个下调)、WT中23个DEGs(13个上调、10个下调)富集在植物激素信号转导通路中(图8)。WT中DEGs主要涉及ABA和辅助素信号通路(8c、d)。am-MT中大多数上调DEGs涉及ET和辅助素信号通路(图8a),而大多数下调DEGs涉及辅助素信号通路(图8b)。与辅助素和ET信号通路相关的DEGs所占比例最大,说明这两条通路在油菜籽应对水涝胁迫和花青素积累中起关键作用。

图8水涝胁迫下与植物激素信号传导相关的DEGs分析
08

RT-qPCR验证
为了验证RNA-seq数据的准确性,通过RT-qPCR验证了16个DEGs的表达水平,结果和测序数据一致,表明转录组测序的可靠性。

图9 RT-qPCR验证
+ + + + + + + + + + +
结 论
本研究分析了发芽期油菜对水涝胁迫的生理变化和转录组变化。与WT相比,花青素突变的油菜品种在发芽过程中合成的花青素更多,表现出更强的耐涝性。转录组测序表明,突变体中的DEGs主要与信号传导通路、翻译和代谢通路有关。其中,部分参与花青素积累和激素信号转导的关键基因,以及参与胁迫的TF基因在突变体中表达差异。研究结果为今后选育耐涝油菜品种提高理论基础。
+ + + + +



English

