文献解读|Cancers(6.575):基于肠道细菌和病毒的结直肠癌生物标志物的扩展
✦ +
+
论文ID
原名:Expansion of Colorectal Cancer Biomarkers Based on Gut Bacteria and Viruses
译名:基于肠道细菌和病毒的结直肠癌生物标志物的扩展
期刊:Cancers
影响因子:6.575
发表时间:2022.09
DOI号:10.3390/cancers14194662
背 景
结直肠癌已成为全球仅次于乳腺癌和肺癌的第三大常见恶性肿瘤。大多数结直肠癌起源于结直肠腺瘤。肠道细菌的改变与结直肠癌密切相关,肠道微生物菌群失调已被研究证明在结直肠肿瘤的发生发展中起重要作用,测序研究揭示了结直肠癌患者肠道菌群的变化。近些年,人们不断探索肠道微生物作为诊断标志物来区分患者和健康个体的潜力,除了肠道细菌外,肠道病毒也可能在识别结直肠癌患者中发挥作用。最近的一项研究发现五种肠道噬菌体可以将结直肠癌患者与健康对照组区别开,然而,关于病毒在结直肠癌中的诊断证据仍需进一步积累,细菌和病毒在结直肠癌发生中的相互作用仍不清楚。本研究对来自健康对照者、结直肠腺瘤和结直肠癌患者的粪便样本进行宏基因组测序,以确定结直肠肿瘤发展过程中肠道微生物的变化,并筛选可识别结直肠腺瘤和结直肠癌患者的肠道细菌和病毒诊断标志物,本研究可能为结直肠癌的病因学研究和早期诊断提供更多证据。
实验设计

结 果
01

三组间肠道菌群差异
通过MetaPhlan3软件对数据进行注释,共获得微生物700种,其中细菌572种,病毒121种,古菌4 种,真菌3种。微生物群落以细菌为主,在细菌组成中,丰度最高的菌种是普氏菌(prevotella copi),尤其是在对照组中更高(图1)。在572种细菌中,健康对照组(Control)有57种特有菌种、结直肠癌组(CRC)有52种特有菌种、结直肠腺瘤(Adenoma)有38种特有菌种。三组的细菌α 多样性没有显著差异(图2)。PCoA分析显示了三组之间细菌群落结构的差异(图3),PCoA分析显示三组间细菌群落结构的差异主要存在于Control与 Adenoma、CRC之间, Adenoma与CRC之间并无明显差异。

图1 柱状图表示三组中总体相对丰度最高的前20种细菌
(Control为健康对照组,Adenoma为结直肠腺瘤组,CRC为结直肠癌组)

图2 三组的细菌α多样性比较

图3 三组的PCoA分析
02

肠道细菌区分三组
随机森林模型共鉴定出12种细菌,可区分三组(图4),并进一步验证了该模型在10个外部验证数据中的鉴别能力。在区分CRC与Control时,将CRC中富集的5种细菌标志物作为诊断模型,包括Peptostreptococcus stomatis, Clostridium symbiosum, Hungatella hathewayi, Parvimonas micra, Gemella morbillorum。五种细菌在外部验证数据的CRC中也明显富集。在CRC和Adenoma的区分上,也确定了四种细菌为细菌诊断模型,包括 Dialister pneumosintes、Peptostreptococcus stomatis 、Parvimonas micra 和 Gemella morbillorum。

图4 盒图显示了随机森林模型识别的12种细菌标记物在三组间的相对丰度分布
03

细菌和代谢通路之间的关联
作者评估了三组之间肠道微生物代谢功能的差异,并分析了64种不同的KEGG代谢途径。通过 Spearman相关分析发现不同细菌种类与代谢途径之间存在相关性(图5),脆弱拟杆菌与程序性死亡配体 (PD-L1) 表达和程序性死亡1 (PD-1) 检查点通路呈正相关。此外, Prevotella copri与核苷酸切除修复通路的正相关性较强,但与丙酸代谢通路呈负相关。

图5 细菌种类和代谢途径之间的相关性热图
04

三组间肠道病毒分析
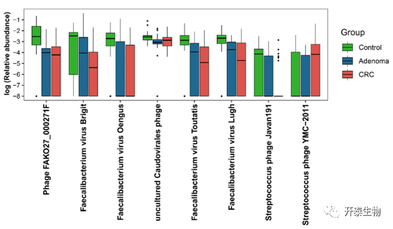
大多数病毒存在于CRC中,作者使用Kraken2软件注释了1875种病毒。三组间肠道病毒alpha多样性和PCoA分析均无显著差异(图6)。通过随机森林模型共识别出8种病毒来区分CRC、Adenoma和Control (图7)。在Adenoma与Control的区分中,确定了三种病毒标记物(噬菌体FAKO27_000271F、粪杆菌病毒Oengus和未培养的Caudovirales噬菌体)作为诊断模型。在CRC与Control的区分中,确定了3种病毒标记物,分别为粪杆菌病毒Toutatis、粪杆菌病毒Lugh和噬菌体FAKO27_000271F。在CRC与Adenoma的区分中,标记物为 Faecalibacterium virus Brigit、噬菌体链球菌YMC-2011和噬菌体链球菌Javan191。

图6 A图为三组病毒α多样性的比较;B图为三组间病毒PCoA分析

图7 8种病毒标记物在三组间的丰度分布
+ + + + + + + + + + +
结 论
本研究发现Adenoma和CRC的肠道微生物菌群处于失调状态,确定了识别 CRC的肠道微生物诊断模型,并且该诊断模型的有效性在外部数据样本中得到验证。发现了脆弱拟杆菌与PD-L1表达和PD-1检查点通路的正相关,为研究细菌致癌机制提供了可能的方向。发现了可能在肠道细菌调节结直肠肿瘤中发挥作用的功能途径,为进一步的机制研究提供了一些可能的方向。
+ + + + +



English

